بدأت بالاهتمام بطول العمر في السنة الثالثة من الطب البشري أيام الجامعة عندما بدأنا بدراسة علم الأمراض وقد لاحظت اهتمامي الكبير بشيئين بشكل مستمر.
كيفية حصول المرض وطرق الوقاية منه.
في السنة الرابعة والخامسة عندما بدأنا بدراسة طب الباطنة والتعمق في مختلف الامراض، وجدت نفسي أرجع وأفكر في هذه الاسئلة:
“لماذا لا نركز على الوقاية من الأمراض؟”
“لماذا لا يستطيع الكثير من الناس التحكم في عاداتهم السيئة وتجنب الأمراض؟”
“لماذا التركيز على العلاج فقط في مرحلة التأهيل كطبيب؟ “
لا تفهمني غلط، العلاج مهم كأهمية الوقاية ولكنه ليس كل شئ. بل يمكن تحسين جودة حياة كل إنسان إذا تمكنا من توفير طرق وقاية أفضل. لست مؤهلاً للخوض في التفاصيل لهذا سأستعين اليوم بمن يشاركني في هذه النظرة.
الطبيب بيتير عطية كندي امريكي من اصول مصرية، مهتم بطب طول العمر وصاحب احدى كتبي المفضلة أوت ليف: علم وفن طول العمر. في هذا الكتاب تحدث عن تطور الطب في ثلاث مراحل:
الطب 1.0: حقبة الطب المبكر
يشير الطب 1.0 إلى حقبة مبكرة من الطب، حيث لم يكن هناك أساس علمي متين، وسادتها المعتقدات الخرافية وفهم محدود للأمراض.
الطب 2.0: الحقبة الحديثة للطب
يمثل الطب 2.0 الحقبة الحديثة للطب التي نعيشها اليوم. نجحت إلى حد كبير في علاج الحالات الحادة. تميزت هذه المرحلة بإنجازات تكنولوجية مهمة مثل تطوير المجهر، وتقنيات الصرف الصحي، والمضادات الحيوية. أدت هذه التطورات إلى زيادة كبيرة في أعمارنا ولكن ليس في صحتنا.
الطب 3.0: الطب التنبؤي والوقائي
الطب 3.0 هو مفهوم سيمثل التحول الجوهري نحو الوقاية والتدخل المبكر. يركز هذا النهج على إطالة ليس فقط العمر، ولكن أيضا مدى الصحة. يضع الطب 3.0 تركيزا قويا على الرعاية الشخصية الاستباقية التي تعالج الأسباب الجذرية للأمراض المزمنة مثل السكري وارتفاع ضغط الدم، والزهايمر ومختلف السرطانات عفانا الله.
أنا متحمس جداً لرؤية التطورات الجديدة في هذا الطب وسعيد لرؤية مختص ينشر الوعي في هذا الطب الحديث. قد تتسائل لماذا المقدمة الطويلة أو ماذا يمكنني أن أفعل للتنبؤ بصحتي؟
هذا تماماً ما سيكون موضوع المدونة اليوم. سأذكر أفضل الطرق التي يمكنك تجربتها بالاستناد على خبرة بيتر عطية في هذا المجال.
تأثير لياقتك البدنية على طول العمر:
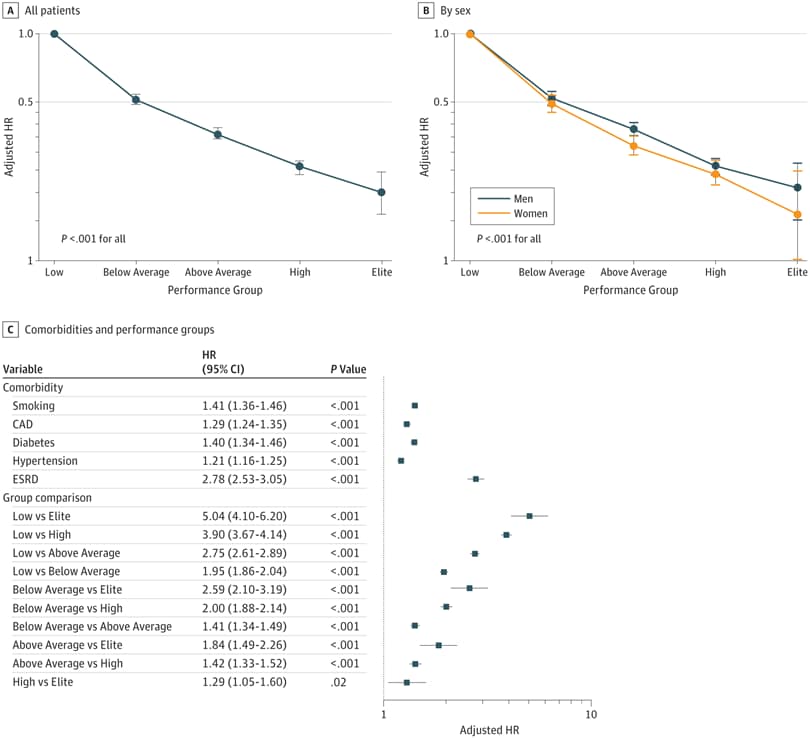
في دراسة من سنة 2018 تم نشرها في مجلة جاما العلمية تم تقسيم 122,007 متطوع متوسط أعمارهم حول الـ 53 عامًا الى 5 مجموعات. خضعوا جميعًا لاختبار لقياس أقصى استهلاك للأكسجين (VO2 max) – مقياس اللياقة البدنية. ثم تم تصنيفهم إلى مجموعات بناءً على نتائجهم:
لياقة منخفضة: أقل 25٪ من المشاركين.
أقل من المتوسط: من 25٪ إلى 50٪.
فوق المتوسط: من 50٪ إلى 75٪.
لياقة عالية: من 75٪ إلى 95٪ تقريبًا.
فئة النخبة: أعلى 5٪.
المثير للاهتمام حقًا هو ما كشفه تحليل نتائج هذه المجموعة الكبيرة (حوالي 122 ألف شخص):
ارتباط واضح بين اللياقة البدنية وانخفاض خطر الوفاة: كلما تحسنت لياقتك، قل احتمال وفاتك لأي سبب خلال عشر سنوات (All Cause Mortality)
الفجوة الأكبر في خطر الوفاة بين الأشخاص ذوي اللياقة المنخفضة والباقين: حتى تحسن بسيط من لياقة منخفضة إلى أقل من المتوسط يقلل خطر الوفاة بنسبة 50٪!
تحسن مستمر مع تحسن اللياقة: مع الانتقال من لياقة منخفضة إلى فوق المتوسط، ثم عالية، ثم نخبة، يستمر انخفاض خطر الوفاة.
لتوضيح الأمر بشكل أكبر، لنضعه في السياق التالي:
زيادة خطر الوفاة بسبب التدخين: يشكل 41٪ على مدى عشر سنوات.
زيادة خطر الوفاة بسبب مرض الشريان التاجي: 29٪
زيادة خطر الوفاة بسبب مرض السكري من النوع 2: 40٪
زيادة خطر الوفاة بسبب ارتفاع ضغط الدم: 21٪
زيادة خطر الوفاة بسبب الفشل الكلوي المرحلة النهائية: 180٪
مقارنة بهذه الأمراض الشائعة، فإن تحسين لياقتك من منخفضة إلى فوق المتوسط له نفس تأثير تقليل خطر الوفاة مثل تجنب التدخين!
كيف تقيس VO2 max؟
السؤال التالي سيكون “كيف اقيس أقصى معدل لاستهلاك الاكسجين؟”
الطريقة الأكثر دقة ستكون الذهاب لمركز متخصص لتركيب الأجهزة المطلوبة وقياس كمية ثاني اكسيد الكربون في كل زفير عند اقصى جهد ممكن على دراجة ثابتة او سير للجري لفترة من الزمن.
يوجد طرق أخرى أقل دقة ولكن قد تكون بداية جيدة وأقل شدة بالنسبة للمبتدئين على هذا الموقع VO2 Max Calculator – Aerobic Capacity
يبدو بأن تم إنشاء الحاسبات بمساعدة مختصين بدرجات علمية عالية في هذا المجال. بعد حصولك على النتيجة، قارنها بالأرقام في الاسفل:
الرسالة المهمة:
لا يحتاج الأمر لأن تصبح رياضيًا محترفًا لتجني فوائد اللياقة البدنية على صحتك وطول عمرك. حتى تحسن بسيط في لياقتك يمكن أن يحدث فرقًا كبيرًا. ابدأ بالمشي السريع لمدة 30 دقيقة معظم أيام الأسبوع، وسترى بنفسك!
2. قبضة قوية، حياة أطول
هل فكرت يومًا أن قوة قبضة يدك يمكن أن تخبرك الكثير عن صحتك ومستقبلها؟ في الحقيقة وبحسب البحوث والدكتور بيتر، قوة القبضة مؤشر مهم لطول العمر والصحة العامة ومتاح للجميع.
أظهرت الدراسات أن قوة القبضة مرتبطة بشكل وثيق بالوفيات لدى البشر من جميع الأعمار ومستويات الدخل، وقد تكون مؤشرًا أفضل على العمر المتوقع من مقاييس تقليدية مثل ضغط الدم.
قبضة قوية = صحة أفضل؟
إحدى الدراسات الصغيرة وجدت أن ضعف قوة قبضة اليد يرتبط بمخاطر أعلى للوفاة المبكرة والإعاقة والمرض، مما يجعلها مؤشراً قوياً على الصحة المستقبلية.
أظهرت دراسة أخرى نشرت على مجلة جاما وجود علاقة مهمة بين قوة القبضة الأعلى والحفاظ على جودة حياة جيدة في الشيخوخة.
وجدت أن قوة القبضة هي مؤشر على الصحة البدنية وقوة العضلات، وأمر بالغ الاهمية للحفاظ على الاستقلالية وجودة حياة عالية مع تقدم العمر (انظر للصورة)
لا يقتصر دور قوة القبضة على كونها مؤشراً للقوة البدنية، بل إنها مرتبطة أيضًا بمجموعة متنوعة من الأمراض مثل هشاشة العظام والكسور والسقوط وسوء التغذية والضعف الإدراكي والاكتئاب ومشاكل النوم والسكري مما يؤثر سلباً على جودة الحياة.
ليس هذا فقط بل أنها مرتبطة بالوفاة لأسباب مختلفة و ضعف الإدراك وغيرها من المشاكل الصحية كما أشارت هذه الدراسة التي نشرت في سنة 2019.
ما الذي يمكنك فعله لعصر الحجر؟
يمكن قياس قوة القبضة بسهولة باستخدام مقياس الدينامومتر اليدوي المتاح في معظم صالات الألعاب الرياضية أو العيادات الطبية والمحال المتخصصة.
هناك العديد من التمارين البسيطة التي يمكنك القيام بها في المنزل لتقوية قبضتك، مثل الضغط على كرة مطاطية أو استخدام مقبض اليد أو التعلق، المشي بالاوزان الحرة.
من المهم استشارة الطبيب قبل البدء في أي برنامج تمارين جديد، خاصة إذا كنت تعاني من أي مشاكل صحية.
تذكر: قوة قبضة اليد ليست مجرد مقياس للقوة البدنية، بل هي نافذة على صحتك المستقبلية وتعكس قوة الجسم بشكل عام. عن طريق ضمها لجدول التمارين يمكنك الحفاظ على صحتك و استقلالك لسنوات قادمة!




